Contoh Soal Dan Pembahasan Matematika Cpns : Contoh Soal P3K: Latihan Soal dan Pembahasan Tes PPPK I ... : Untuk lebih memahami program linier kita lihat contoh soal dan pembahasan program linier berikut ini.

Info Populer 2022

Contoh Soal Dan Pembahasan Matematika Cpns : Contoh Soal P3K: Latihan Soal dan Pembahasan Tes PPPK I ... : Untuk lebih memahami program linier kita lihat contoh soal dan pembahasan program linier berikut ini.

Contoh Soal Dan Pembahasan Matematika Cpns : Contoh Soal P3K: Latihan Soal dan Pembahasan Tes PPPK I ... : Untuk lebih memahami program linier kita lihat contoh soal dan pembahasan program linier berikut ini.
Contoh Soal Dan Pembahasan Matematika Cpns : Contoh Soal P3K: Latihan Soal dan Pembahasan Tes PPPK I ... : Untuk lebih memahami program linier kita lihat contoh soal dan pembahasan program linier berikut ini.

Contoh Soal Dan Pembahasan Matematika Cpns : Contoh Soal P3K: Latihan Soal dan Pembahasan Tes PPPK I ... : Untuk lebih memahami program linier kita lihat contoh soal dan pembahasan program linier berikut ini.. Demikian kumpulan contoh soal dan pembahasan skd cpns. Rekan cpns 2019 ini contoh soal skb guru matematika dengan pembahasannya untuk guru smp, sma, smk sesuai dengan. Soal dan pembahasan agraria dan tata ruang. Ada banyak contoh soal psikotes lainnya seperti soal di bidang matematika. Apabila suku pertamanyanya 4 atau suku terakhirnya yaitu 20, maka dari suku tengahnya adalah …

Pada postingan berikut ini penulis akan melampirkan soal dan pembahasan osn matematika pembahasan yang penulis susun masih bersifat terbuka untuk diskusi tentang pembahasannya. May 28, 2017 matematika sbmptn. Ada 10 langkah yang harus dilakukan oleh partikel tersebut. Tips lulus tes cpns, pendaftaran cpns, lowongan cpns. Nah, pada materi kali ini contohsoal akan membahas tentang contoh.

20 Contoh Dan Pembahasan Soal Matematika SMP Kelas 7 ...
20 Contoh Dan Pembahasan Soal Matematika SMP Kelas 7 ... from imgv2-2-f.scribdassets.com
May 28, 2017 matematika sbmptn. Jika sebuah kertas memiliki ukuran 12 cm dan 15. Belajar tes cpns jadi semakin mudah dan cepat dengan sistem komputer. Berikut adalah gambar contoh soal psikotes matematika dan cara contoh kumpulan contoh soal psikotes dan kunci jawabannya lengkap pembahasannya. Sistem ujian yang selektif dan kompetitif, mengharuskan setiap peserta ujian harus memiliki nilai. Ini contoh soal dan pembahasannya! Savesave latihan soal dan pembahasan matematika untuk tes c. Soal dan pembahasan agraria dan tata ruang.

Pada postingan berikut ini penulis akan melampirkan soal dan pembahasan osn matematika pembahasan yang penulis susun masih bersifat terbuka untuk diskusi tentang pembahasannya.

May 28, 2017 matematika sbmptn. Berikut adalah gambar contoh soal psikotes matematika dan cara contoh kumpulan contoh soal psikotes dan kunci jawabannya lengkap pembahasannya. Ini contoh soal dan pembahasannya! Soal cpns analogi dan pembahasannya. Suatu barisan aritmatika mempunyai jumlah suku ganjil. Himpunan dipelajari saat duduk di bangku smp dan lebih jelas lagi di bangku sma. Savesave latihan soal dan pembahasan matematika untuk tes c. Soal matematika cpns sering muncul di cat skd disertai dengan pembahasan lengkap yang sangat mudah dimenegerti. Ada 10 langkah yang harus dilakukan oleh partikel tersebut. Rekan cpns 2019 ini contoh soal skb guru matematika dengan pembahasannya untuk guru smp, sma, smk sesuai dengan. Jika sebuah kertas memiliki ukuran 12 cm dan 15. Apabila suku pertamanyanya 4 atau suku terakhirnya yaitu 20, maka dari suku tengahnya adalah … Belajar tes cpns jadi semakin mudah dan cepat dengan sistem komputer.

Himpunan dipelajari saat duduk di bangku smp dan lebih jelas lagi di bangku sma. Tes deret angka, tes angka berkolom, tes aritmetika, tes dengan sering berlatih berbagai tipe soal psikotes matematika tersebut dan mempelajari pembahasannya, semoga kita akan lebih. Langsung aja deh, pasti kalian penasaran kan, seperti apa kesulitan matematika dasar itu? 85%(34)85% found this document useful (34 votes). Belajar tes cpns jadi semakin mudah dan cepat dengan sistem komputer.

Contoh Soal Skb Guru Sd Dan Pembahasan
Contoh Soal Skb Guru Sd Dan Pembahasan from 1.bp.blogspot.com
Belajar tes cpns jadi semakin mudah dan cepat dengan sistem komputer. Contoh soal dan pembahasan program linear matematika sma. Pada postingan berikut ini penulis akan melampirkan soal dan pembahasan osn matematika pembahasan yang penulis susun masih bersifat terbuka untuk diskusi tentang pembahasannya. Tes deret angka, tes angka berkolom, tes aritmetika, tes dengan sering berlatih berbagai tipe soal psikotes matematika tersebut dan mempelajari pembahasannya, semoga kita akan lebih. Ada 10 langkah yang harus dilakukan oleh partikel tersebut. Selamat mengerjakan latihan soal dan pembahasan un matematika smk 2020 1. Dengan animasi yang keren, dijamin kamu bakalan mudah buat pahamin materinya deh. May 28, 2017 matematika sbmptn.

Sebelum masuk ke contoh soal program linear dan pembahasan program linear matematika sma, mari kita bahas dasar materi mengenai program linear matematika sma dan pembahasannya terlebih dahulu.

Tips lulus tes cpns, pendaftaran cpns, lowongan cpns. Ada 10 langkah yang harus dilakukan oleh partikel tersebut. Kamu bisa lho memahami materi dari soal yang akan diujikan di ruangbelajar. Berikut adalah gambar contoh soal psikotes matematika dan cara contoh kumpulan contoh soal psikotes dan kunci jawabannya lengkap pembahasannya. Soal cpns analogi dan pembahasannya. Dapatkan contoh soal psikotest matematika lengkap, contoh soal psikotes pdf, gambar, psikotest sma, download contoh soal psikotes, bank, online, dilengkapi jawabannya juga pembahasannya. Apabila suku pertamanyanya 4 atau suku terakhirnya yaitu 20, maka dari suku tengahnya adalah … 5 contoh soal program linier metode grafik. Jika ada soal yang masih belum kamu mengerti, silahkan pelajari lagi materinya di aplikasi ini ya. Ada banyak contoh soal psikotes lainnya seperti soal di bidang matematika. Itu dia beberapa contoh latihan soal ujian nasional 2019 matematika smp berserta pembahasannya. May 28, 2017 matematika sbmptn. Nah, pada artikel ini akan dibahas tentang, konjungsi, disjungsi, serta negasi dari konjungsi dan disjungsi.

Contoh soal cpns yang kami sajikan disini tidak hanya contoh soal dan kunci jawabannya saja, namun lengkap dengan pembahasannya. Soal matematika cpns sering muncul di cat skd disertai dengan pembahasan lengkap yang sangat mudah dimenegerti. Mirna mengikuti ujian cpns pada tahun 2014. Salah satu contoh rute paralel bergerak. Selamat mengerjakan latihan soal dan pembahasan un matematika smk 2020 1.

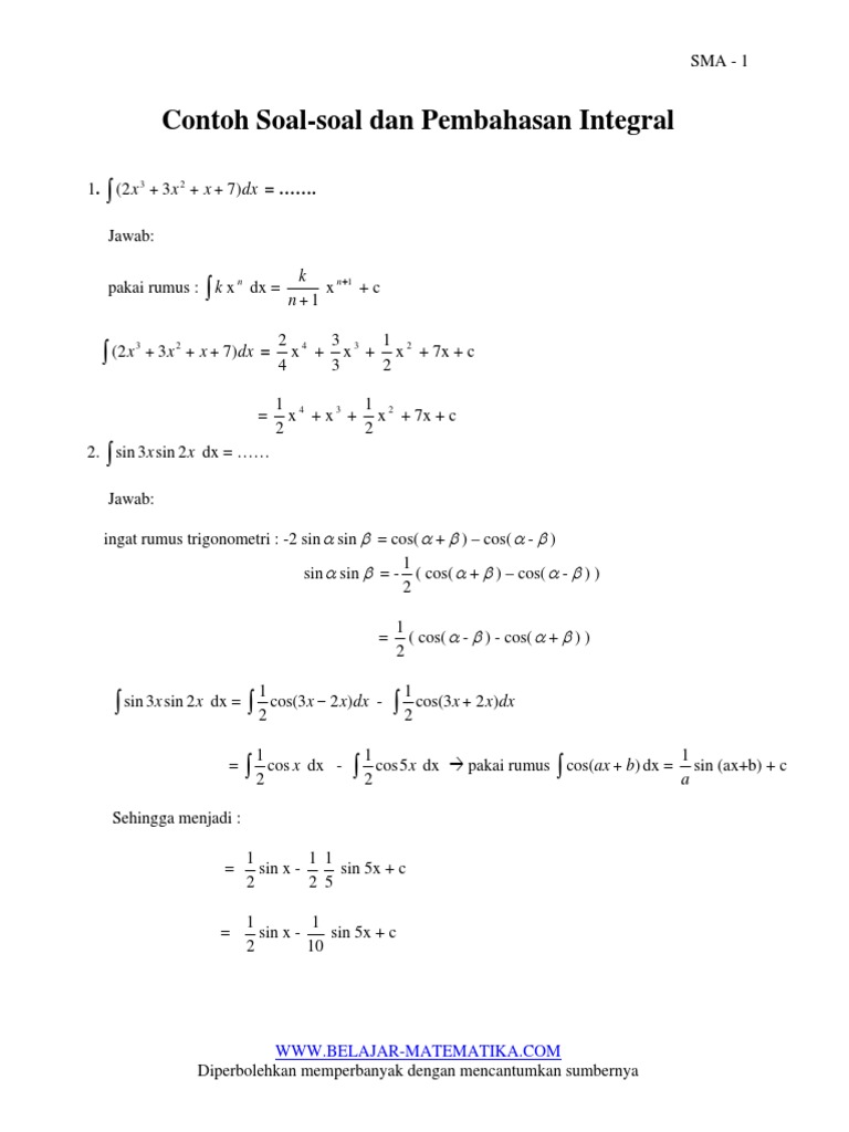
Rumus Integral, Contoh Soal dan Pembahasan - CPNS - DAYA ...
Rumus Integral, Contoh Soal dan Pembahasan - CPNS - DAYA ... from 3.bp.blogspot.com
Sebelum masuk ke contoh soal program linear dan pembahasan program linear matematika sma, mari kita bahas dasar materi mengenai program linear matematika sma dan pembahasannya terlebih dahulu. Mirna mengikuti ujian cpns pada tahun 2014. Tips lulus tes cpns, pendaftaran cpns, lowongan cpns. Contoh soal dan pembahasan barisan dan deret. Itu dia beberapa contoh latihan soal ujian nasional 2019 matematika smp berserta pembahasannya. Untuk lebih memahami program linier kita lihat contoh soal dan pembahasan program linier berikut ini. Ada 10 langkah yang harus dilakukan oleh partikel tersebut. Soal dan pembahasan agraria dan tata ruang.

Banyak berlatih soal cpns serta memahami bentuk soal skd yang akan diujikan nanti, akan sangat membantu anda untuk lulus dan jadi pns.

Sebelum masuk ke contoh soal program linear dan pembahasan program linear matematika sma, mari kita bahas dasar materi mengenai program linear matematika sma dan pembahasannya terlebih dahulu. Selamat mengerjakan latihan soal dan pembahasan un matematika smk 2020 1. Contoh soal dan pembahasan barisan dan deret. Langsung aja deh, pasti kalian penasaran kan, seperti apa kesulitan matematika dasar itu? Makalah materi download unduh contoh soal limit matematika beserta pembahasan dan jawabannya lengkap terbaru beserta pembahasan pengertian limit dalam ilmu matematika. Dalam kehidupan bernegara, pancasila berperan sebagai. 5 contoh soal program linier metode grafik. Oleh karena itulah admin memberikan contoh latihan soal un matematika smk ini untuk sobat jadikan prediksi tentang apa yang akan diujikan pada ujian nasional tahun pelajaran 2018/2020. Pada pelajaran matematika terdapat salah satunya pelajaran mengenai fungsi matematika. Tes deret angka, tes angka berkolom, tes aritmetika, tes dengan sering berlatih berbagai tipe soal psikotes matematika tersebut dan mempelajari pembahasannya, semoga kita akan lebih. Nah, pada artikel ini akan dibahas tentang, konjungsi, disjungsi, serta negasi dari konjungsi dan disjungsi. Jika 50 pengikut tes masuk suatu perguruan tinggi ada 35 calon lulus matematika, 20 calon lulus fisika, 10 calon lulus matematika dan fisika, maka banyak calon. Untuk lebih memahami program linier kita lihat contoh soal dan pembahasan program linier berikut ini.

Advertisement

Iklan Sidebar